联系我们 | 加入收藏 | 贵大首页
  • 网站首页
  • 学院概况
    • 学院简介
    • Brief Introducti...
    • 历史沿革
    • 现任领导
    • 机构设置
    • 媒体动科
    • 校友风采
  • 党建思政
    • 制度建设
    • 组织建设
    • 理论学习
    • 党建动态
  • 师资队伍
    • 动物科学系
    • 动物医学系
    • 草业科学系
    • 水产科学系
    • 实验实践教学中心
    • 教师风采
  • 学科建设
    • 学科建设
    • 实验室建设
  • 科学研究
  • 人才培养
    • 本科生教育
    • 研究生教育
  • 学生工作
    • 学生组织
    • 学生活动
  • 招生就业
    • 招生工作
    • 就业信息
  • 下载中心
    • 教师相关
    • 本科生相关
    • 研究生相关

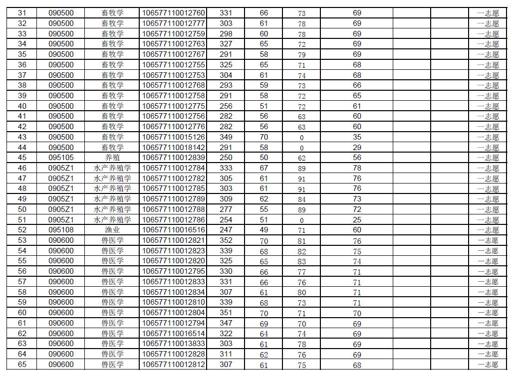
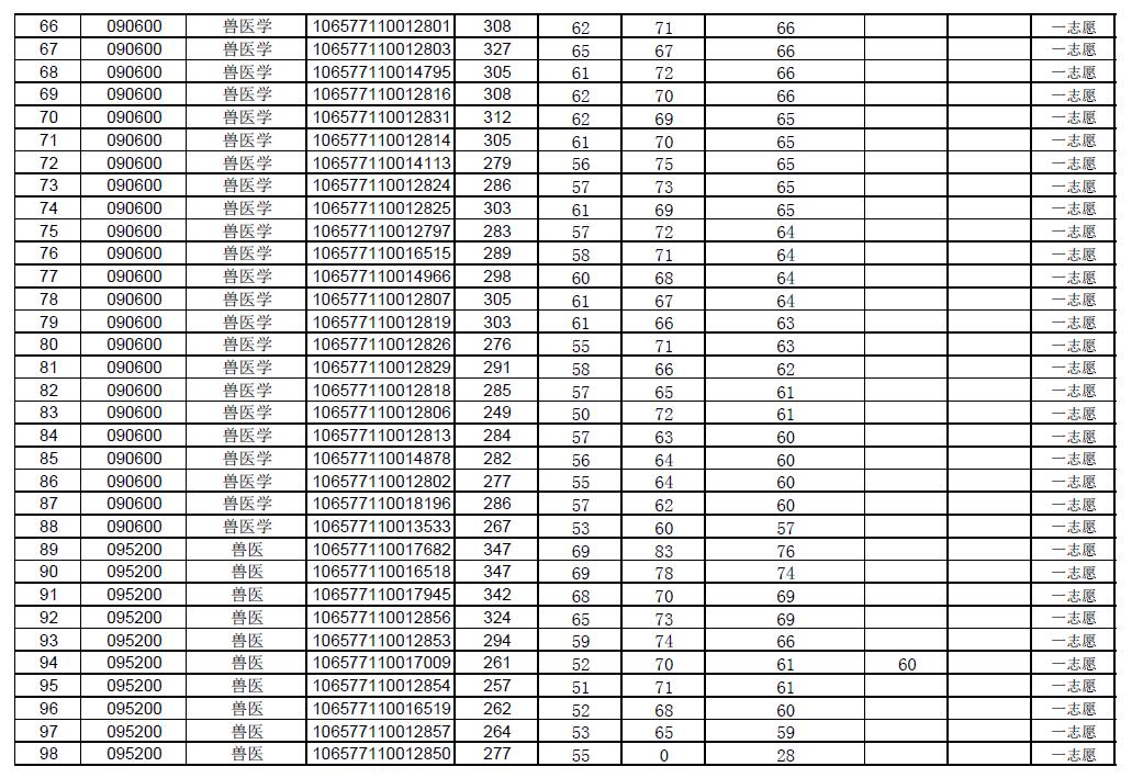
【公示】贵大动科学院2017硕士研究生入学考试复试成绩公示

2017-03-28     浏览次数: 1685

文章发布:曾智勇

学院地址:贵州大学西校区崇学楼
党政办公室电话:0851-88298005
教学科研科电话:0851-88298003
研究生科电话:0851-88298109
学生科电话:0851-88298008
书记信箱:dnluo@gzu.edu.cn
院长信箱:690076748@qq.com
Copyright © 2021 贵州大学动物科学学院 版权所有 技术支持:贵州诺维泰网络
开云手机·官方站官网-开云online(中国) | 华体网页版页面登录_华体(中国) | 华体会平台-华体会(中国) | 开云手机在线-开云(中国) | 开云app登录入口-开云(中国) | 华体会手机网页版登录入口-华体会中国 | 开云手机端·官方版在线-开云(中国) | 开云「Kaiyun」中国·官方网站 | 开云手机入口-开云online(中国) |